• Предмет: Математика
  • Автор: sota109080
  • Вопрос задан 3 года назад

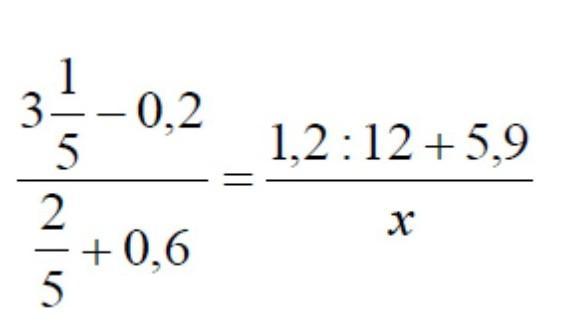
Помогите пожалуйста ​

Приложения:

Ответы

Ответ дал: sholnikgvsfjcxzagnv
0

Ответ:

x=2

Пошаговое объяснение:

x(не равен)0

1)Представляем в смешанную дробь в виде неправильной дроби

2) Вычитать дроби

3) 3\1=6\х

4) 3х=6

5) х=2

Вас заинтересует