• Предмет: Алгебра
  • Автор: FGBDHNGMH
  • Вопрос задан 3 года назад

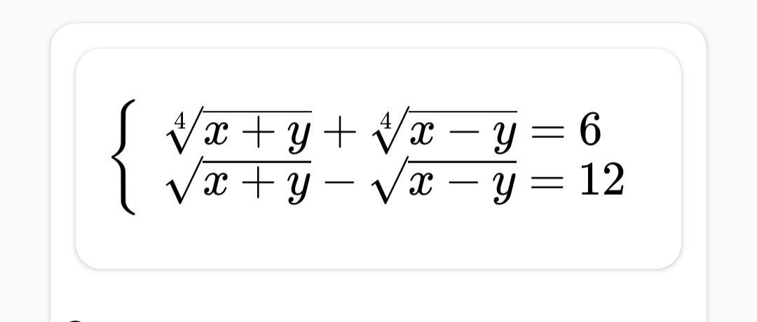
Даю 30 балов розв'яжіть систему рівнянь

Приложения:

Ответы

Ответ дал: UncleGreg
0

Ответ:

x = 136

y = 120

Объяснение:

Проведём замену переменных

a = \sqrt[4]{x + y}

b = \sqrt[4]{x - y}

a + b = 6

a² - b² = 12

a² - (6 - a)² = 12

a² - 36 + 12a - a² = 12

12a = 12 + 36 = 48

a = 4

b = 6 - a = 2

Вернёмся к первоначальным переменным:

\sqrt[4]{x + y} = 4

\sqrt[4]{x - y} = 2

x + y = 4⁴ = 256

x - y = 2⁴ = 16

Решим систему сложением

2x = 256 + 16 = 272

x = 136

y = x - 16 = 120

Вас заинтересует