подскажите ,как решать такие задачи.
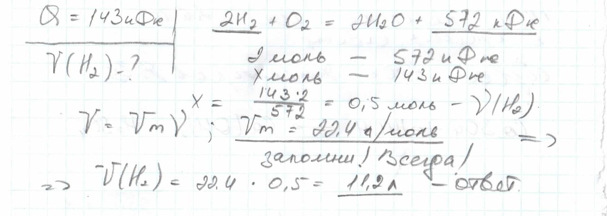
2H2 + О2 = 2Н2О + 572кдж.вычислите объём сгоревшего водорода,если известно что при его сгорании выделилось 143 кдж теплоты
Ответы
Ответ дал:
0
и где нарушение здесь.. не пойму..
Приложения:

Вас заинтересует
2 года назад
8 лет назад
8 лет назад
10 лет назад
10 лет назад