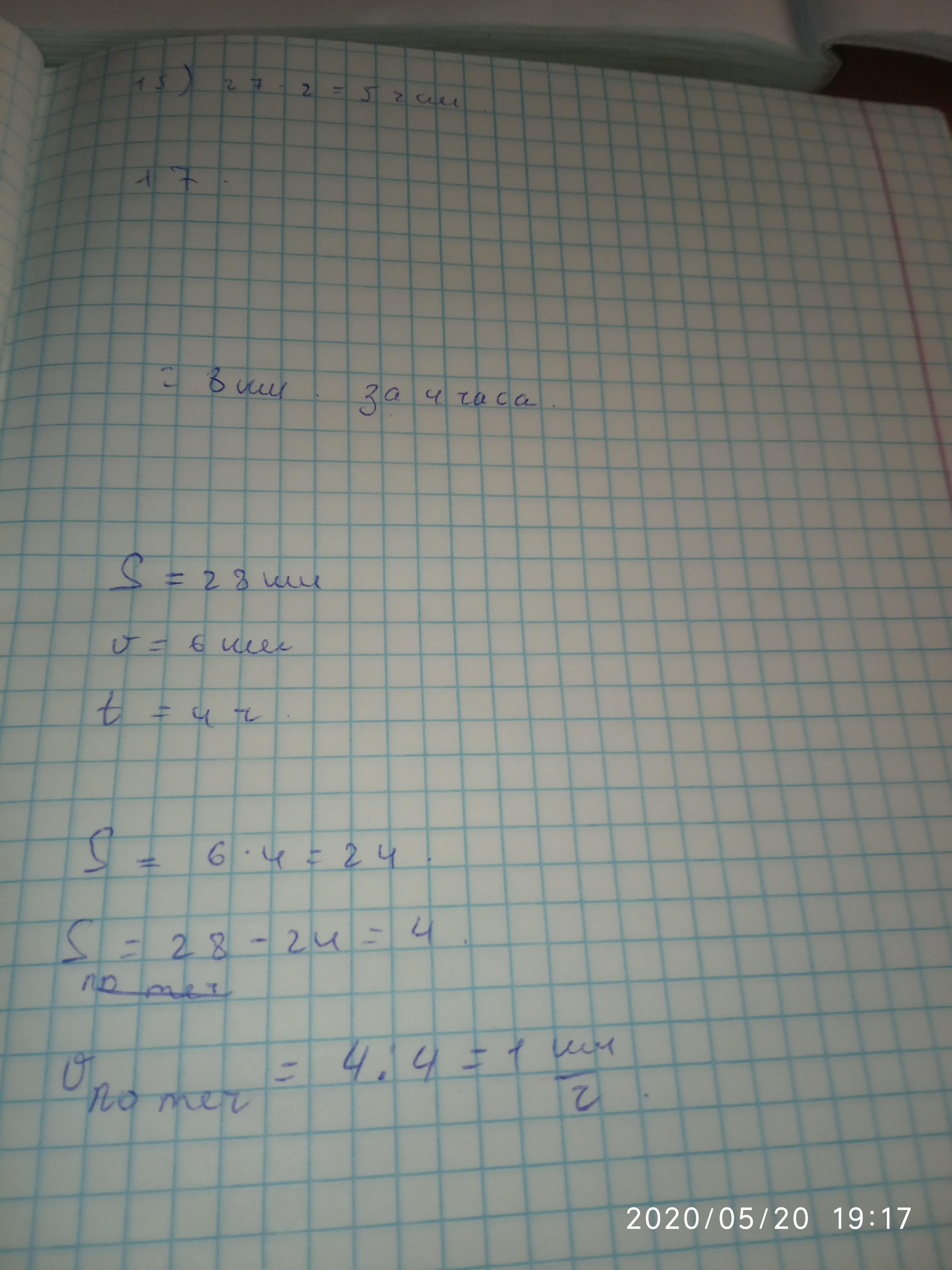
Катер прошёл по течению 28 км за 4 часа найдите скорость течения если собственная скорость лодки 6 км ч
Ответы
Ответ дал:
1
Ответ:
1км\ч
Пошаговое объяснение:
Приложения:

Ответ дал:
0
Ответ:
Пошаговое объяснение:
Пусть х км/ч скорость течения
Тогда скорость лодки по течению (х+6) км/ч
Зная что за 4ч катер прошел 28 км составим и решим уравнение
4*(х+6)=28
4х+24=28
4х=4
х=1 (км/ч)
Ответ: скорость течения 1 км/ч
Вас заинтересует
2 года назад
2 года назад
2 года назад
2 года назад
7 лет назад
9 лет назад