5.Упростите выражение:
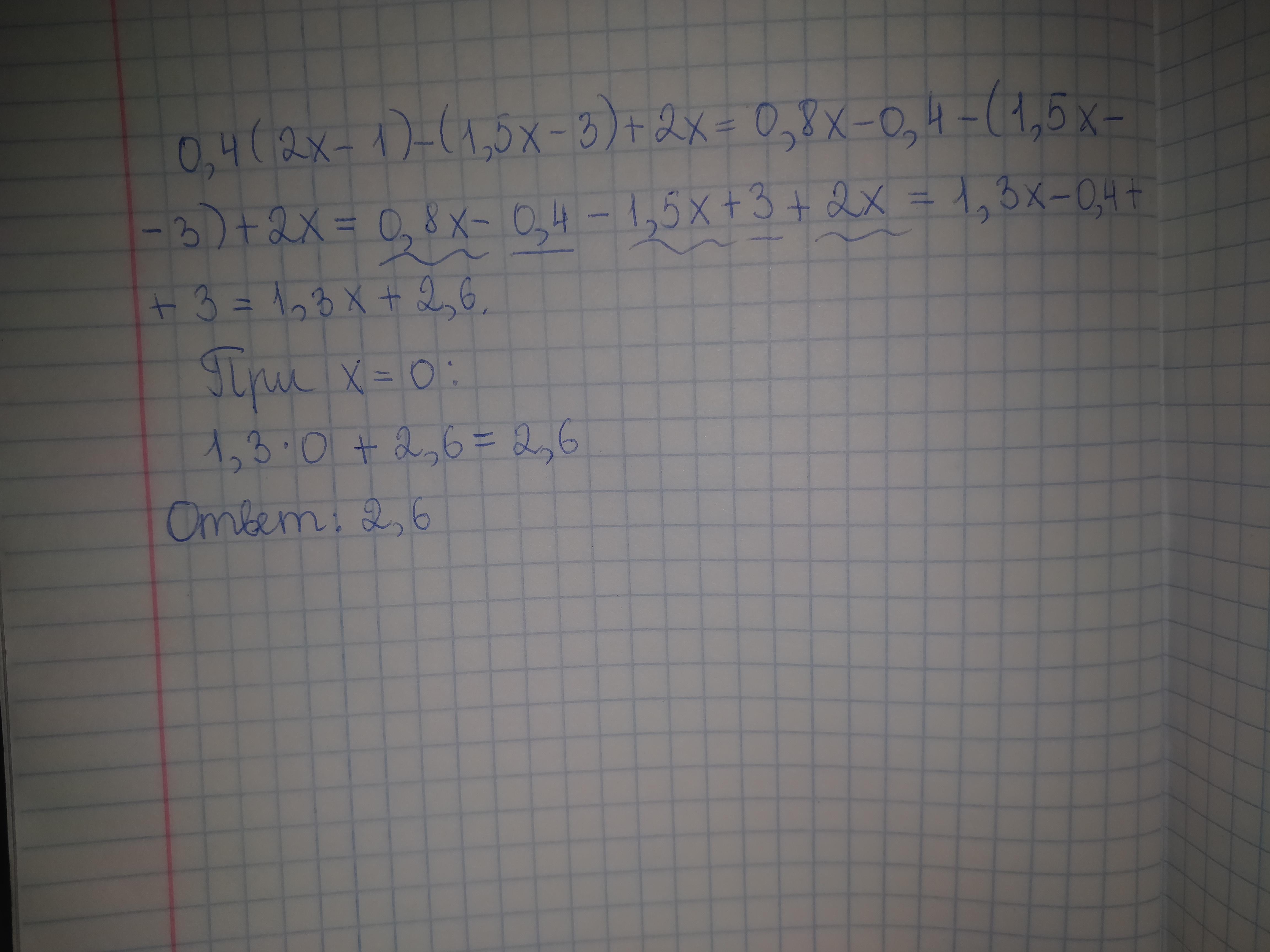
0,4(2х-1) – (1,5х-3)+2х и найдите его значение при х=-0,
помогите пожалуйста
mistjukkarolina:
я не правильно написала при x=-0.1
Ответы
Ответ дал:
0
Ответ: Надеюсь, что все правильно, и я тебе помогла.
Объяснение:
Приложения:

Ответ дал:
0
Ответ:
Объяснение:
=0,8x-0,4-1,5x+3+2x=1,3x+2,6=1,3*(-0,1)+2,6=-0,13+2,6=2,47
Вас заинтересует
2 года назад
2 года назад
2 года назад
7 лет назад
7 лет назад