• Предмет: Алгебра
  • Автор: kotovaeva28
  • Вопрос задан 3 года назад

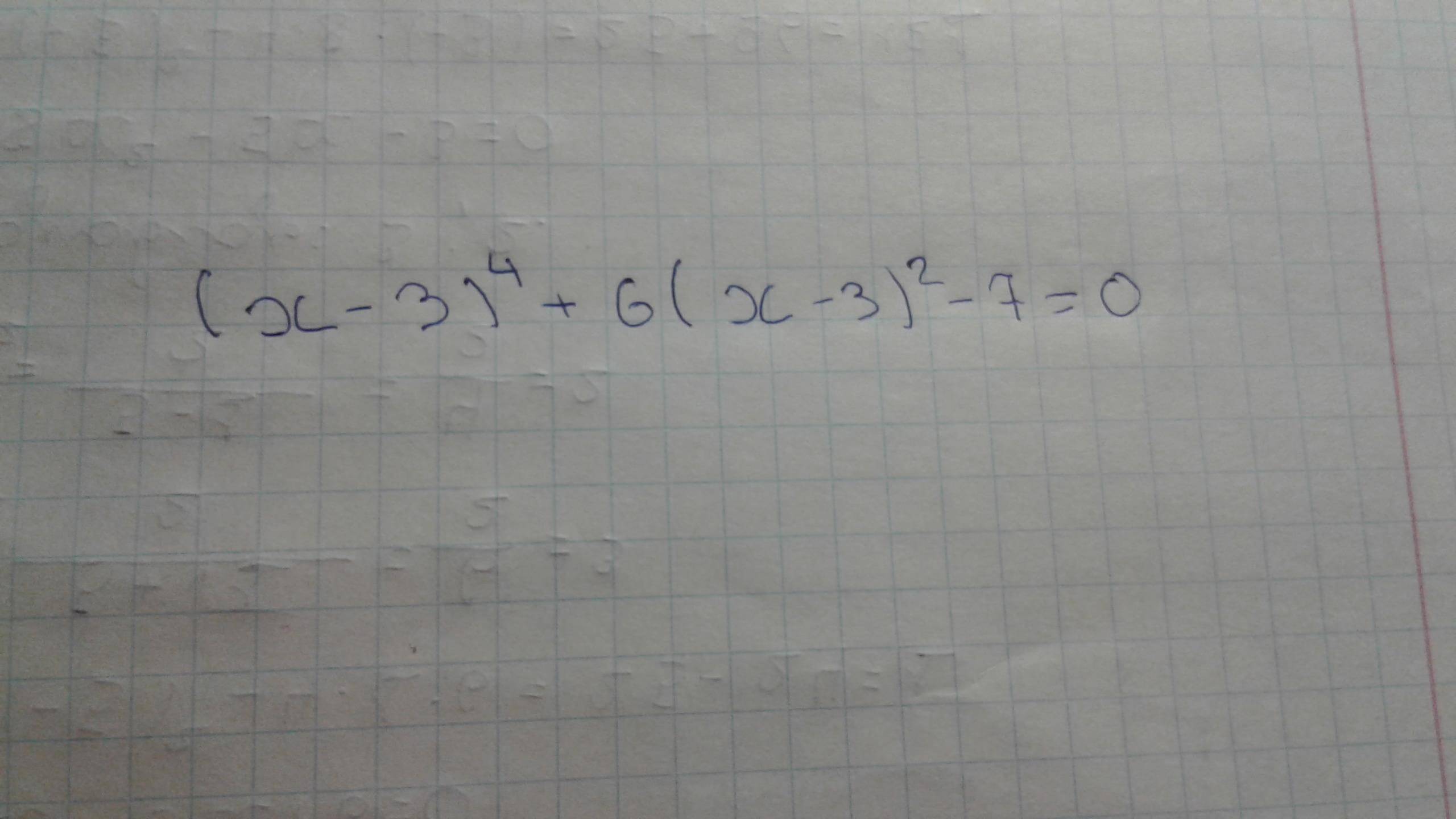
Розв'яжіть рівняння

Приложения:

Ответы

Ответ дал: Error404File1903
1

Ответ:

x1=2 x2=4

Объяснение:

(x-3)^{2}= -7

(x-3)^{2}=1

x=2 x= 4

x1=2 x2=4

Вас заинтересует