• Предмет: Математика
  • Автор: Аноним
  • Вопрос задан 3 года назад

14y+5=20−112y. СКАЖИТЕ ОТВЕТ СРОЧНО

Ответы

Ответ дал: eldarbari394
1

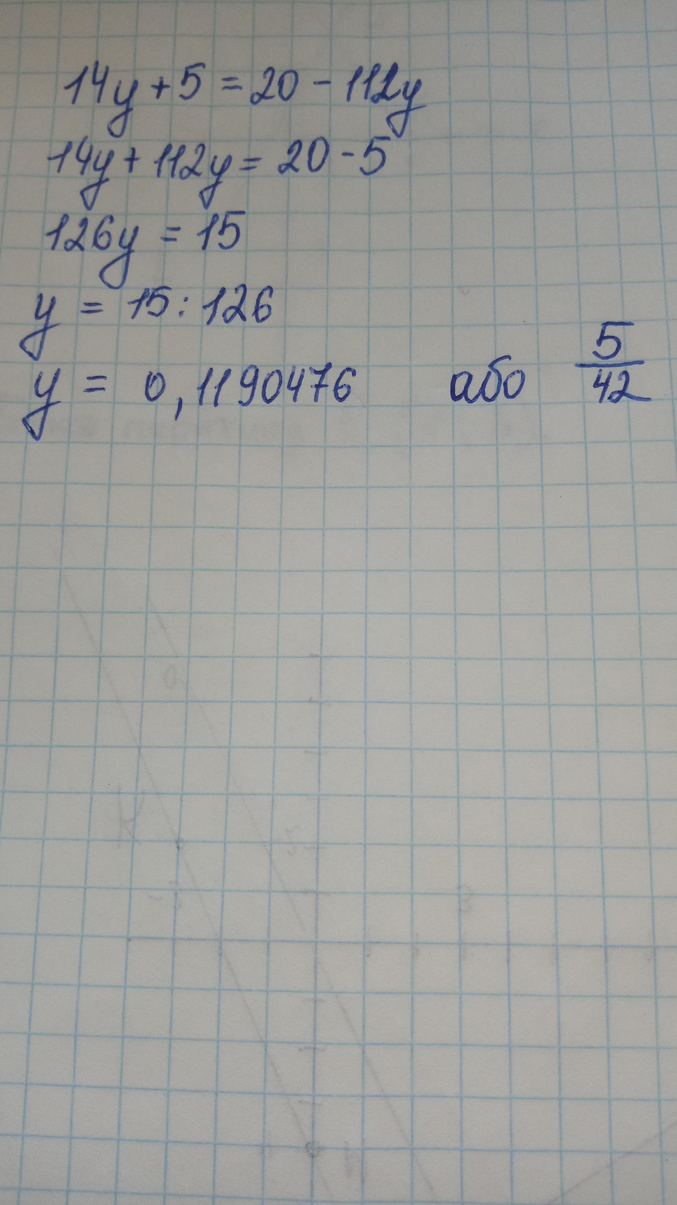
Ответ:

14y+5=20-112y

14y+112y=20-5

126y=15

y=15/126

y=5/42


eldarbari394: сделай ответ лучшим пожалуйста
Ответ дал: verauvanova20
0

Відповідь:

Все на фото знизу.

Приложения:
Вас заинтересует