• Предмет: Математика
  • Автор: vladvetoskin428
  • Вопрос задан 3 года назад

Помогите!!!!!!!!!
Прошу всего 2 задания! Мне скоро отправлять!!!!!​

Приложения:

Ответы

Ответ дал: sebrithien
0

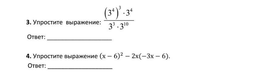
Задание 3:

\dfrac{(3^4)^3\cdot3^4}{3^3\cdot3^{10}}=\dfrac{3^{4\cdot3}\cdot3^4}{3^{3+10}}=\dfrac{3^{12}\cdot3^4}{3^{13}}=\dfrac{3^{12+4}}{3^{13}}=\dfrac{3^{16}}{3^{13}}=3^{16}\div3^{13}=3^{16-13}=3^3=\bold{27}

Ответ:  27

Задание 4:

(x-6)^2-2x(-3x-6)=x^2-12x+36+6x^2+12x=\bold{7x^2+36}

Ответ:  7x² + 36

Вас заинтересует