Ответы
Ответ дал:
0
Решение на фоторафии.
Приложения:

Ответ дал:
0
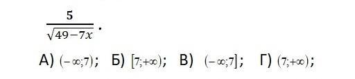
49-7х>0
49>7х
х<7
Верный ответ А)
Вас заинтересует
2 года назад
2 года назад
2 года назад
2 года назад
7 лет назад
7 лет назад
9 лет назад