Ответы
Ответ дал:
1
ответ :3
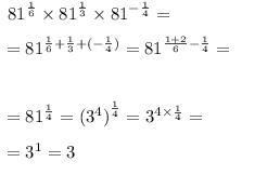
внизу как расписывается
Приложения:

Вас заинтересует
2 года назад
2 года назад
2 года назад
2 года назад
7 лет назад
7 лет назад
9 лет назад
9 лет назад