• Предмет: Алгебра
  • Автор: gyjhyygjjh
  • Вопрос задан 3 года назад

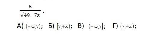
Найди все значения х при которых имеет смысл выражения:

Приложения:

Ответы

Ответ дал: vityamath
0

Ответ:

(-Бесконечность;7) или Вариант А

Объяснение:

\frac{5}{\sqrt{49-7x}  } \\49-7x>0\\-7x>-49\\x<7\\

(-Бесконечность;7)

Вас заинтересует