• Предмет: Математика
  • Автор: vladvetoskin428
  • Вопрос задан 3 года назад

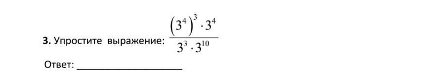
(3⁴)³ × 3⁴
––––––
3³×3¹⁰
Дайте пожалуйста полный и расписанный ответ!!!!

Приложения:

Ответы

Ответ дал: tatsach
2

Ответ:

Пошаговое объяснение:

Приложения:

vladvetoskin428: Точно?)
Вас заинтересует