• Предмет: Алгебра
  • Автор: daniel228798
  • Вопрос задан 3 года назад

Помогите пожалуйста с алгеброй

9 класс

Заранее спасибо

Можно просто ответ

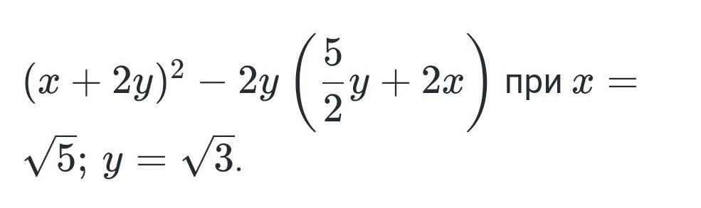
Приложения:

Ответы

Ответ дал: za1kanastenka04
1

Ответ:

2

Объяснение:

=x^2+4xy+4y^2-5y^2-4xy=x^2-y^2

√5^2-√3^2=5-3=2

Вас заинтересует