Ответы
Ответ дал:
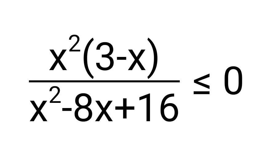
1
Объяснение:
Держите ответ!!!!!!!!
Приложения:



Вас заинтересует
2 года назад
2 года назад
2 года назад
2 года назад
7 лет назад
7 лет назад
9 лет назад