• Предмет: Математика
  • Автор: Аноним
  • Вопрос задан 3 года назад

СРОЧНО СРОЧНО СРОЧНО

Приложения:

Ответы

Ответ дал: Аноним
0

Ответ:

Пошаговое объяснение:

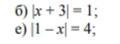
|х+3|=1.

а) х+3.>0

х+3=1

х=-3+1=-2.

б)

(х+3)<0

-х-3=1.

х=-4.

Ответ: х=-2: х=-4.

е)

|1-х|=4

     a)  (1-х)>0

1-х=4

1-4=х

х=-3.

б)  (1-х)<0

-(1-х)=4

-1+х=4

х=4+1=5.

Ответ: х=-3; х=5.

Вас заинтересует