• Предмет: Математика
  • Автор: Аноним
  • Вопрос задан 3 года назад

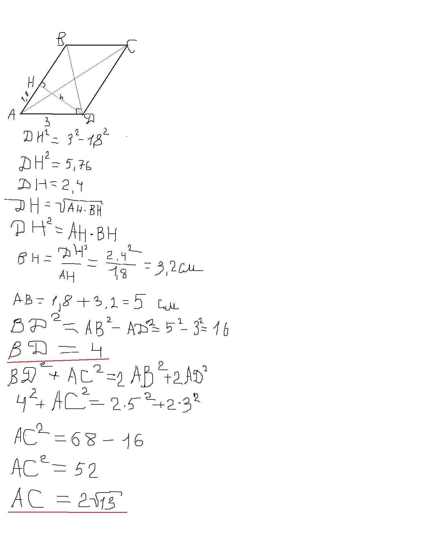
Параллелограмм AВСD ∡АДВ=90° АД=3см ,а h=DН делит сторону AB на сегменты AН и HВ как AН = 1,8 см. Найти AC и ВД! Быстро!

Приложения:

Ответы

Ответ дал: vladrov
1

Ответ:

Пошаговое объяснение:

Приложения:
Вас заинтересует