• Предмет: Математика
  • Автор: Аноним
  • Вопрос задан 3 года назад

Поооооомоооогиииитеее пж, даю 35 балов!!!!!
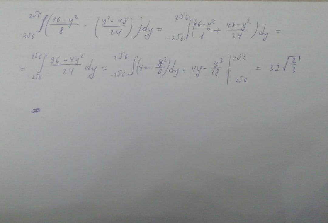
Как найти площадь (при помощи определенных интегралов) фигуры, ограниченной параболами y^2=16-8x, y^2=24x+48.

Ответы

Ответ дал: terbion
0

Ответ:

32\sqrt{\frac{2}{3} }

Пошаговое объяснение:

Сначала находим границы интегрирования:

x=(16-y²)/8

x=(y²-48)/24

(16-y²)/8=(y²-48)/24

48-3y²=y²-48

-4y²=-96

y²=24

y=±√24

y1=2√6     y2=-2√6

Интеграл на промежутке от -2√6 до 2√6

Приложения:

terbion: Пожалуйста, отметьте ответ, как лучший
Вас заинтересует