• Предмет: Алгебра
  • Автор: Lennmaa
  • Вопрос задан 3 года назад

СРОЧНО!!!!!!ПОМОГИТЕ пожалуйста отдам все балы последняя Надежда на вас❤️❤️❤️❤️❤️

Приложения:

Lennmaa: 4.5 !!!!!
Аноним: Я чесно не знаю відповіді на ваі завдання але ви можете мені допомогти по хімії?

Ответы

Ответ дал: Пеппер
1

4.5

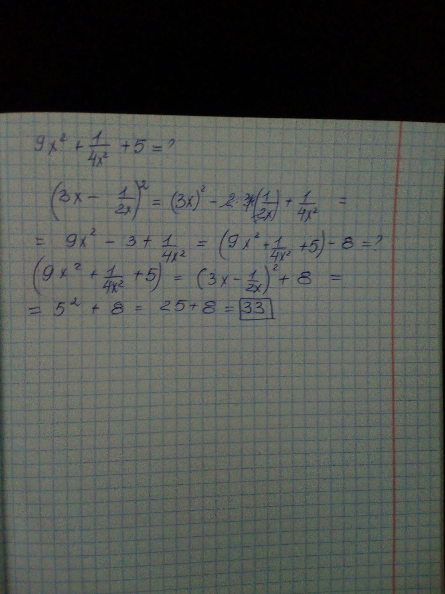
Піднесемо до квадрата другий вираз:

(3х- (1/2х))² = 9х²- 3 + 1/4х²

9х² - 1/4х² + 5 - 8;

9х² - 1/4х² + 5 = (3х - 1/2х)² + 8 = 5²+8=25+8=33

Відповідь: 33.


Аноним: А мені виконаєте будь-ласка по хімії завдання?
Аноним: Будь-ласка
Ответ дал: Аноним
2

Верный ответ  В) 33

решение во вложении

Приложения:
Вас заинтересует