Розв’яжіть систему рівнянь. ПОЖАЛУЙСТА, ЭТО СРОЧНО!!! Даю 25 баллов.
Приложения:

meri694:
не могу ответить, уже написала решение!!
Ответы
Ответ дал:
1
Ответ:
(x;y)=(2; -1)
Объяснение:
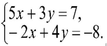
{5x+3y=7
-2x+4y=-8
{x=7/5-3/5y
-2x+4y=-8
-2(7/5-3/5y)+4y=-8
y=-1
x=7/5-3/5*(-1)
x=2
(x;y)=(2; -1)
теперь проверяем верное ли равенство
{5*2+3*(-1)=7
-2*2+4*(-1)=-8
{7=7
-8=-8
Ответ: (x;y)=(2; -1)
Ответ дал:
0
решение))) ])))))))))))))
Приложения:

Вас заинтересует
2 года назад
2 года назад
2 года назад
7 лет назад
7 лет назад
9 лет назад