• Предмет: Алгебра
  • Автор: Аляпролджэ12
  • Вопрос задан 3 года назад

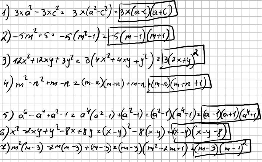
Разложите многочлен на множители.
1) 3ха² - 3хс²
2) - 5m² +5
3) 12x² + 12xy+3y²
4)m2 - n2 + m - n
5)а⁶-а⁴+а²-1
6)х²-2ху+у²-8х+8у
7)m²(m-3)-2m(m-3)+(m-3)
Сделает плиизз срочно надоо!!! У меня ещё 50 долговв :((((

Ответы

Ответ дал: Ilyazov45
2

Объяснение:

...............................................

Приложения:
Вас заинтересует