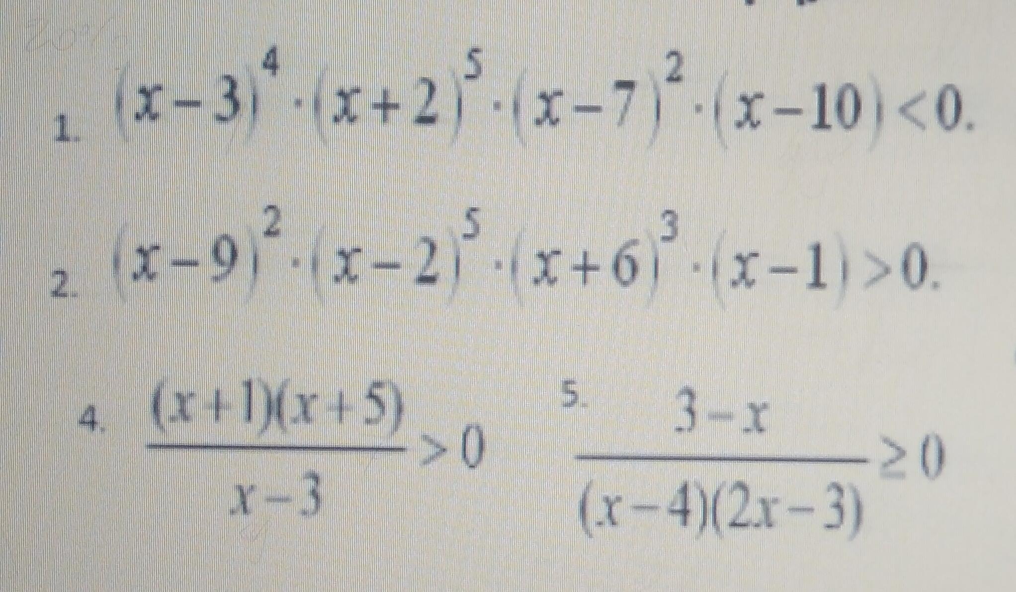
Добрый вечер. Помогите пожалуйста эти 4 примера сделать, продолжение у меня в профиле тоже 4 примера помогите пожалуйста
Приложения:

Аноним:
помогите мне в алгебре совсем не шарю
Ответы
Ответ дал:
1
Ответ:
==============================
Объяснение:
Приложения:

Вас заинтересует
2 года назад
2 года назад
2 года назад
7 лет назад
7 лет назад
9 лет назад
9 лет назад