• Предмет: Математика
  • Автор: kensiewww
  • Вопрос задан 3 года назад

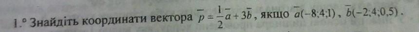
найти координаты вектора тот что на рисунке​

Приложения:

Ответы

Ответ дал: elkakrav
1

Ответ:

p(-10;14;2)

Пошаговое объяснение:

a(-8;4;1)

b(-2;4;0.5)

0.5a(-4;2;0.5)

3b(-6;12;1.5)

p=0.5a+3b

p(-10;14;2)

Вас заинтересует