• Предмет: Алгебра
  • Автор: nevrotova03
  • Вопрос задан 3 года назад

Помогите, пожалуйста

Приложения:

Ответы

Ответ дал: planpeace
0

Ответ:

Объяснение:

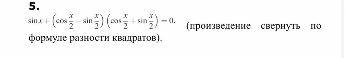
sinx + cos^2 (x/2) - sin^2 (x/2) = 0

cos^2 (x/2) - sin^2 (x/2) - это формула двойного угла у cos

sinx+cosx=0 |:cosx≠0

tgx+1=0

tgx= -1

x= - π/4 + πn


planpeace: сейчас исправлю,здешняя клавиатура сбоит,это не ответ
Вас заинтересует