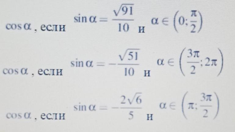
прошу, помогите понять методику решения. на примере одного из трех. спасибо огромное.
Приложения:

Ответы
Ответ дал:
1
Ответ:
угол принадлежит промежутку от 0 до п/2, то есть находится в I четверти, значит и синус и косинус будут со знаком +
по основному тригонометрическому тождеству
можем найти косинус
ответ 3/10, или 0,3
Ответ дал:
0
Ответ: на первом алфа у тебя в (0:п/2)
И спрашевыеть cosa и cosa плус в этом промежутке
cosa=+sqrt(1-sin^2(a))=sqrt(1+91/100)=sqrt(191/100)=sqrt191/10
Осталные тоже также
Объяснение:
Вас заинтересует
2 года назад
2 года назад
2 года назад
7 лет назад