• Предмет: Математика
  • Автор: kojevnikovdavid
  • Вопрос задан 3 года назад

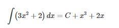
Вычислите интеграл.
S от 3 до -1 (3x^2+2)dx

Ответы

Ответ дал: Konstantinkrus2006
1

Ответ:

Как то так:

Пошаговое объяснение:

Приложения:

kojevnikovdavid: Варианты ответа а)25
kojevnikovdavid: б)22 в) 36 г)33
kojevnikovdavid: и д)28
Вас заинтересует