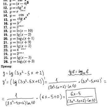
Срочно!!!!! Помогите пожалуйста 11 задача по примеру.70 баллов
Приложения:

Аноним:
Что сделать нужно? Производную найти?
Ответы
Ответ дал:
1
Вас заинтересует
2 года назад
2 года назад
2 года назад
7 лет назад
7 лет назад