• Предмет: Алгебра
  • Автор: pamagiteplshelp
  • Вопрос задан 3 года назад

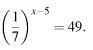
Найдите корень уравнения

Приложения:

Ответы

Ответ дал: muhich04
1

Ответ:

х=3

Объяснение:

(1/7)^{-2}=49

-2=х-5

х=5-2

х=3

Ответ дал: mukhammadjonovakbar
0

Ответ: Асса

Объяснение:

Приложения:
Вас заинтересует