• Предмет: Геометрия
  • Автор: shaverma2000
  • Вопрос задан 3 года назад

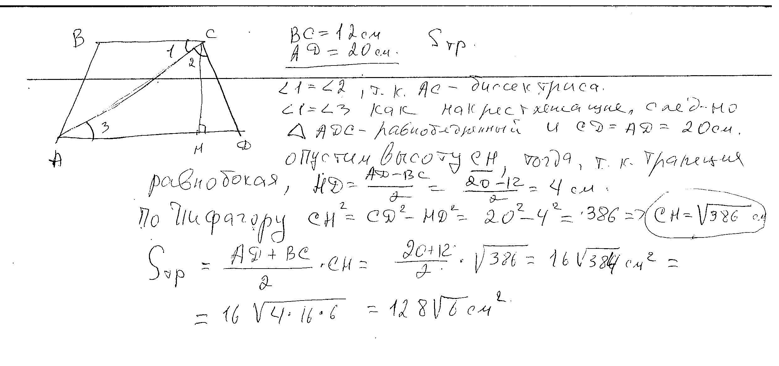
Основания равнобокой трапеции равны 12 см и 20 см, а диагональ
является биссектрисой её тупого угла. Найдите площадь трапеции.

С чертежом пожалуйста

Ответы

Ответ дал: ужнеужели
0

Ответ:

Объяснение:

во вложении

Приложения:
Вас заинтересует