• Предмет: Математика
  • Автор: ilmirn41
  • Вопрос задан 3 года назад

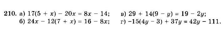
помогите пожалуйста с математикой​

Приложения:

Ответы

Ответ дал: bestfriend2021
0

решение:

а)х=9                                  в)у=34/3

б)х=5                                  г)у=12/5  

Вас заинтересует