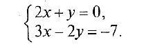
Решите систему уравнений
В ответе запишите сумму х + у
помогите пж кантролная итоговая
Приложения:

Аноним:
аааа
Ответы
Ответ дал:
1
Ответ:
(x,y)=(-1,2)
Объяснение:
3x-2*(-2)x=-7
3x+4x=-7
7x=-7
x=-1
y=-2*(-1)
y=2=>(x,y)=(-1,2)
Вас заинтересует
2 года назад
2 года назад
2 года назад
7 лет назад
7 лет назад
9 лет назад
9 лет назад