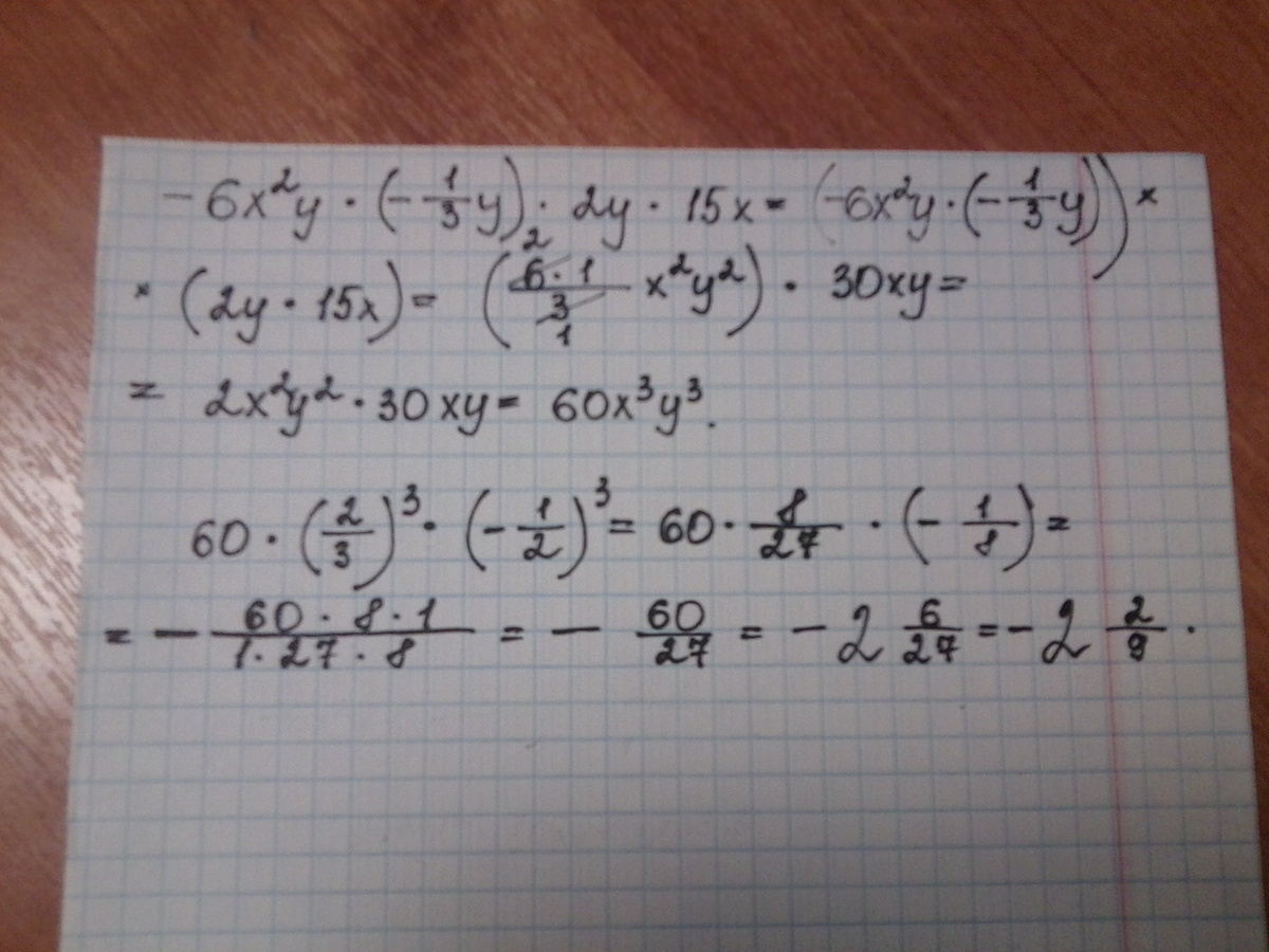
приведите данный одночлен к стандартному виду и найдите его значение при х =две третьих ,у = минус одна вторая.
-6х во второй степени умножить на у (- одна третья у)умножить 2у умножить 15х =?
Приложения:

Ответы
Ответ дал:
0
Я конечно могу ошибаться, но по-мойму будет так.
Приложения:

Вас заинтересует
2 года назад
2 года назад
8 лет назад
8 лет назад
10 лет назад
10 лет назад
10 лет назад