• Предмет: Математика
  • Автор: fleus
  • Вопрос задан 3 года назад

помогите с решением пожалуйста

Приложения:

Ответы

Ответ дал: L20202203
1

Ответ:

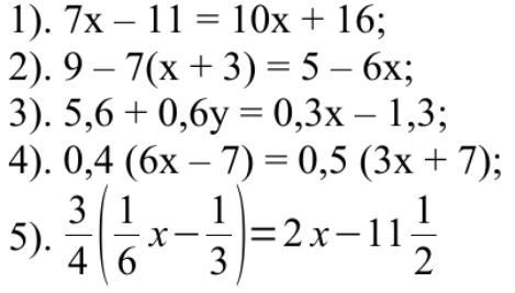
1) 7х-10х=11+16, -3х=27,  х= -9

2) 9-7х-21=5-6х, 9-21-5=7х-6х,  х= -17

3) если нет ошибки в условии: 0,6у-0,3х=-5,6-1,3, 0,3(2у-х)= -6,9. 2у-х=23

4). 2,4х-2,8=1,5х+3,5, 2,4х-1,5х=3,5+2,8, 3,9х=6,3, 1,3х=2, х=18/13

5). 3/24х-3/12=2х-23/2. 2х-3/24х=23/2+3/12, 23/24х=141/12, х=141*24/23*12, х=12*6/23

Пошаговое объяснение:


fleus: спасибо!
Вас заинтересует