Ответы
Ответ дал:
2
Ответ:
Если множитель надо было разложить на многочлен то держи ответ
Объяснение:
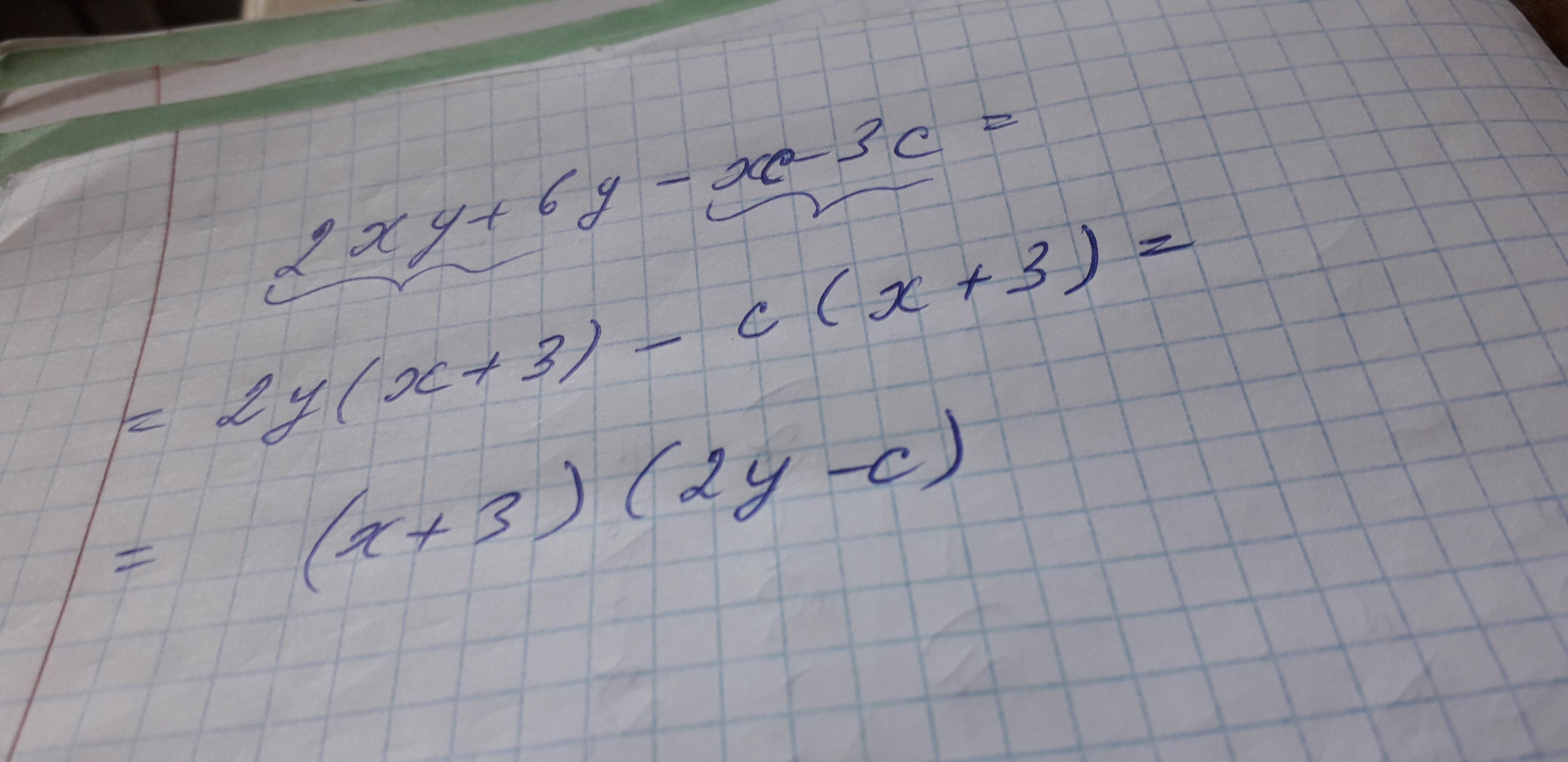
2xy+6y-xc-3c=2y(x+3)-c(x+3)=(x+3)(2y-c)
utubinstagram21:
Спасибо , а ещё сделаешь кое-что
Ответ дал:
1
Ответ:
Объяснение:
На фото :3
Приложения:

Вас заинтересует
2 года назад
2 года назад
2 года назад
2 года назад
7 лет назад
7 лет назад
9 лет назад