Ответы
Ответ дал:
0
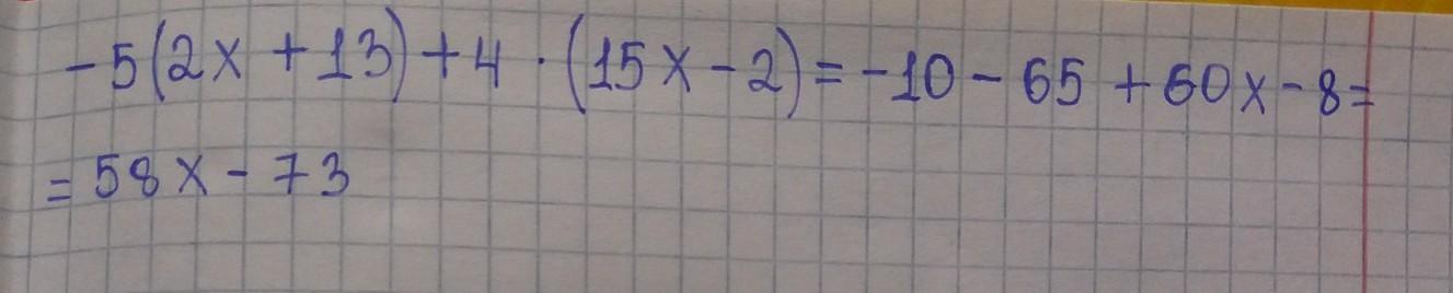
58 х - 73
Пошаговое объяснение:
..............
Приложения:

Вас заинтересует
2 года назад
2 года назад
2 года назад
7 лет назад
7 лет назад
9 лет назад
9 лет назад