• Предмет: Алгебра
  • Автор: annabogomaz02
  • Вопрос задан 3 года назад

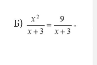
Розвяжіть рівняння!) ​

Приложения:

Ответы

Ответ дал: miron2077
0

х²/(х+3)=9/(х+3)       х≠-3

х²=9

х₁=3

х₂=-3 не подходит по ОДЗ

Ответ дал: sashabulanda33
0

Объяснение:

как-то так.............

Приложения:
Вас заинтересует