Ответы
Ответ дал:
0
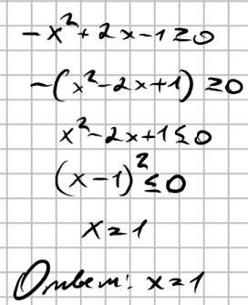
Ответ:
c) x = 1
Объяснение:
Приложения:

Вас заинтересует
2 года назад
2 года назад
2 года назад
7 лет назад
7 лет назад
9 лет назад