• Предмет: Математика
  • Автор: tatanaung
  • Вопрос задан 3 года назад

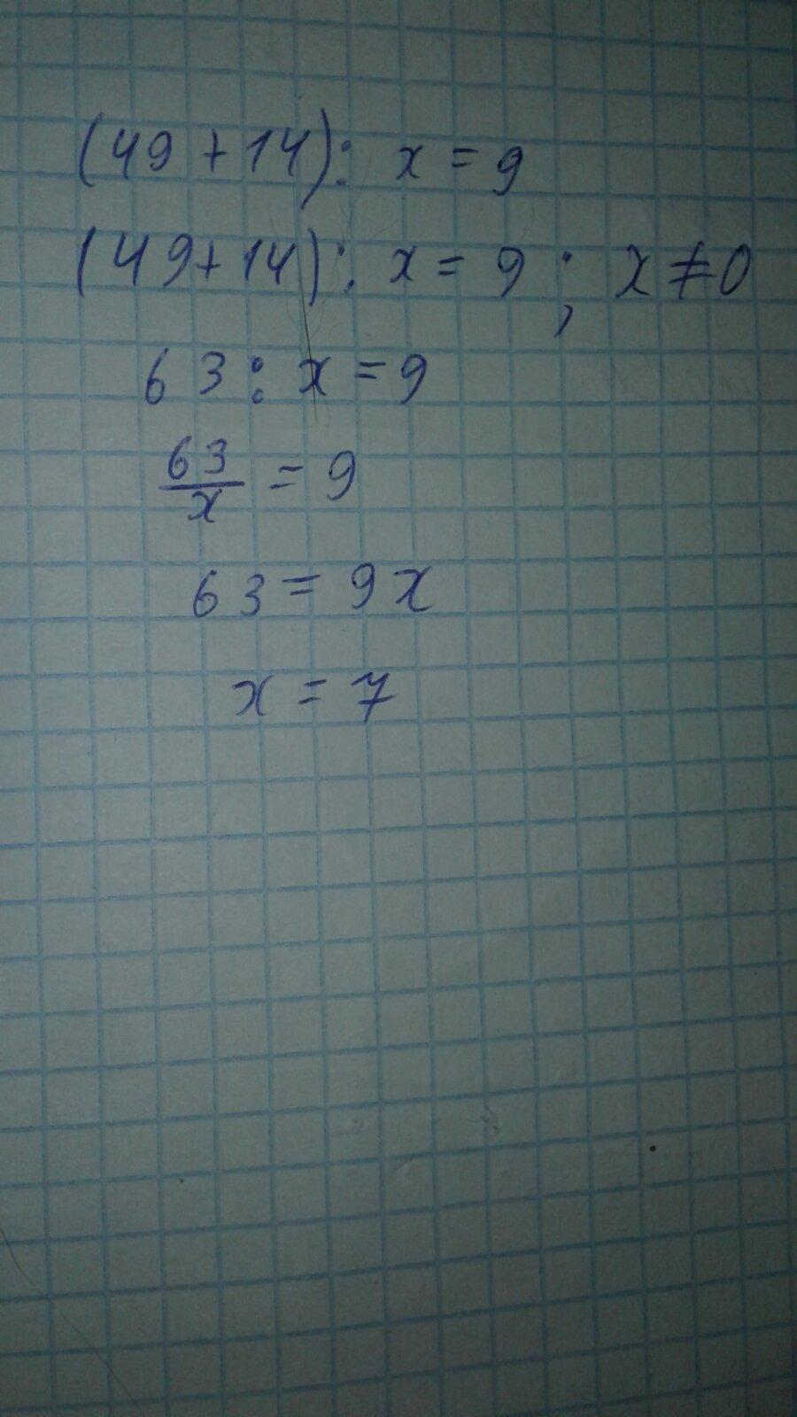
Сколько будет (49+14):×=9

Ответы

Ответ дал: oopaaaaaaaaaa
0

Ответ:

Во вложении прикрепил решение.

Пошаговое объяснение:

Приложения:
Вас заинтересует