• Предмет: Алгебра
  • Автор: vikafisenko04
  • Вопрос задан 3 года назад

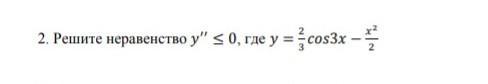
сроооооочно!!! пожалуйста​

Приложения:

Ответы

Ответ дал: egammberdievadilnoza
0

8,554 неравенство

Объяснение:

Нет

Вас заинтересует