• Предмет: Математика
  • Автор: leramaziar2009
  • Вопрос задан 3 года назад

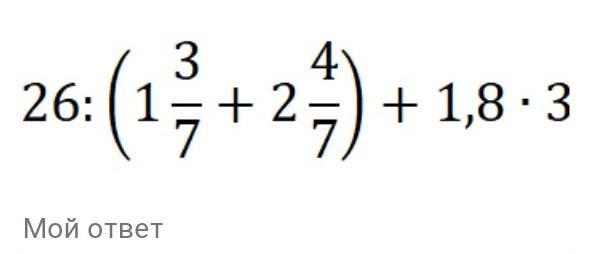
Даю 15 баллов, помогите срочно​

Приложения:

Ответы

Ответ дал: snizhkoy
0

Пошаговое объяснение:

11.9

Вас заинтересует