• Предмет: Алгебра
  • Автор: steamkrytsteam
  • Вопрос задан 3 года назад

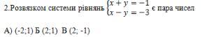
розвязком системи рівнянь x+y=-1 x-y=-3 є пара чисел А (-2;1) Б(2;1) В(2;-1)

Приложения:

Ответы

Ответ дал: ZAKA65
3

Ответ:  A)  (-2,1)

Объяснение:упорядоченная пара чисел является решением системы уравнений,так как оба равенства верны

ответ правильный у нас был сор,и я так написал (-2,1)  и ответ правильный     оцени меня старался   хех

Вас заинтересует