2x-3y=-12
x+2y=1 степени уровень  10009099 балов
                        
                            
                                    
                    kukuruzik52:
                    Не понял задания
                
            
                    
                    2x-3y=-12 и x+2y=1 решить нужно?
                
            
                    
                    да
                
            
                    
                    Я так понял это система уравнений
                
            
                    
                    степеней
                
            
                    
                    6x+3=8x-3(2-4) ниже  2(2x-3 y) -4x=2y-8
                
            Ответы
                                            Ответ дал: 
                                                                                    
                                        
                                            
                                                
                                                
                                                
                                                    2
                                                
                                            
                                        
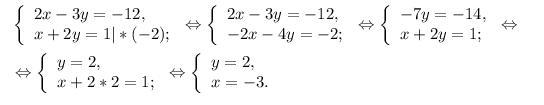
                                    Ответ: ( -3; 2 )
Решение в прикрепленном файле
Приложения:
                     
                            
                    
                    спасибо большое  как завут тебя
                
            
                                            Ответ дал: 
                                                                                            
                                                    
                                                
                                                                                    
                                        
                                            
                                                
                                                
                                                
                                                    0
                                                
                                            
                                        
                                    
                                         ответ (-3;2)
вот так
                                        
                                        
                                вот так
Вас заинтересует
                
                        2 года назад
                    
                
                        7 лет назад
                    
                
                        7 лет назад
                    
                
                        9 лет назад