• Предмет: Математика
  • Автор: stoorm527
  • Вопрос задан 3 года назад

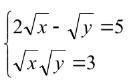
Решите систему уравнений

Приложения:

Ответы

Ответ дал: ibragimt37
0

Ответ:

√x=3/√y. √x=1.5

6/√y+√y=5. √y=4

Вас заинтересует