Ответы
Ответ дал:
0
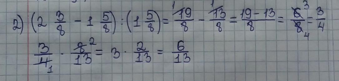
6/13
Пошаговое объяснение:
........................
Приложения:

Вас заинтересует
2 года назад
2 года назад
2 года назад
2 года назад
7 лет назад
7 лет назад
9 лет назад