Ответы
Ответ дал:
0
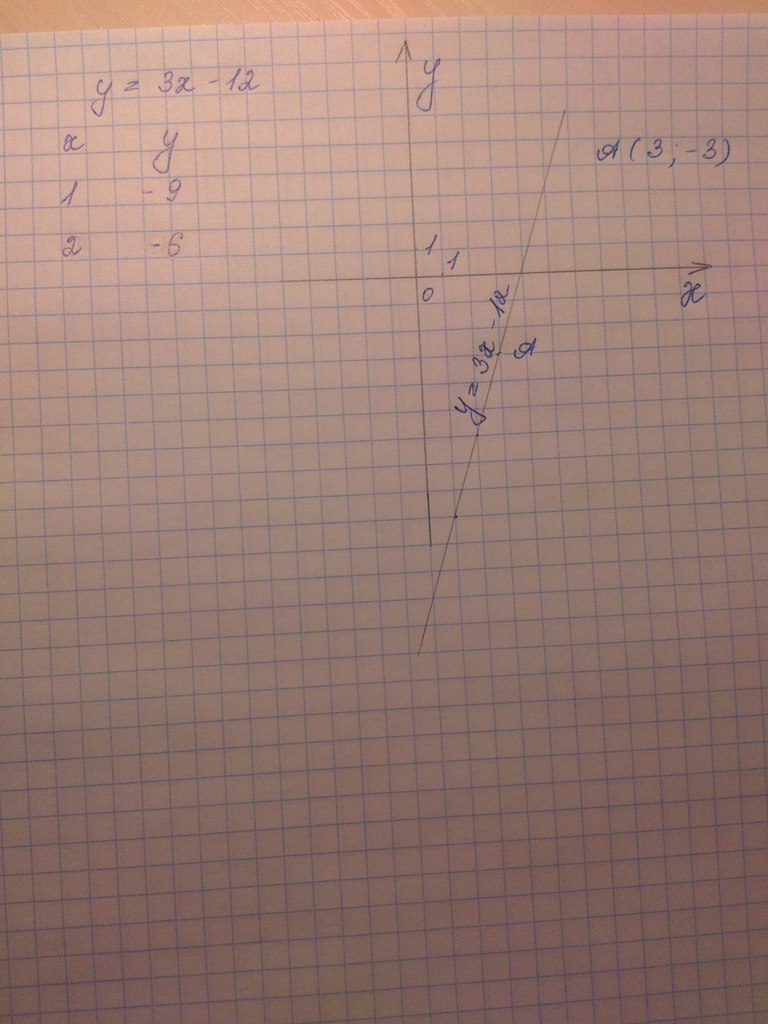
Точка А (3;-3) - обозначена и подписана на прямой
Приложения:

Ответ дал:
0
спасибо
Вас заинтересует
2 года назад
2 года назад
10 лет назад
10 лет назад
10 лет назад