• Предмет: Математика
  • Автор: antonenkoo381
  • Вопрос задан 3 года назад

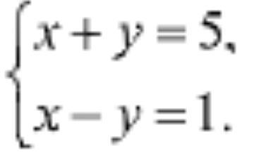
Розв'яжіть систему рівнянь способом додаваня

Приложения:

Ответы

Ответ дал: Disabel
2

Пошаговое объяснение:

...................

Приложения:
Вас заинтересует