Ответы
Ответ дал:
2
Ответ:
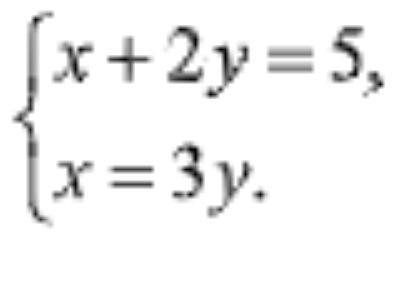
x= 3, y= 1
решение на фото
Приложения:

Вас заинтересует
2 года назад
2 года назад
2 года назад
2 года назад
7 лет назад
7 лет назад
9 лет назад
9 лет назад