• Предмет: Алгебра
  • Автор: monobanlalisa1
  • Вопрос задан 3 года назад

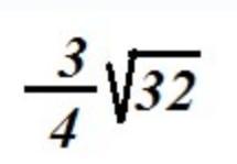
Розв'язати приклад.

Приложения:

Ответы

Ответ дал: Ninetales
1

Ответ:

3√2

Объяснение:

3/4 *√4^2*2

3/4* 4√2

3√2

:>

Вас заинтересует