Ответы
Ответ дал:
1
Ответ:
Объяснение:
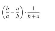
b^2-a^2 1 b^2-a^2
------------ * ------- = ------------
ab b+a ab(a+b)
Извини что так написал, просто доступа к камере нету.
Ответ дал:
1
(b/a-a/b)×1/b+a
b^2-a^2/ab×1/b+a
a^2-b^2=(a-b)(a+b)
(b-a)×(b+a)/ab×1/b+a
b-a/ab
Приложения:

Вас заинтересует
2 года назад
2 года назад
2 года назад
9 лет назад
9 лет назад