Ответы
Ответ дал:
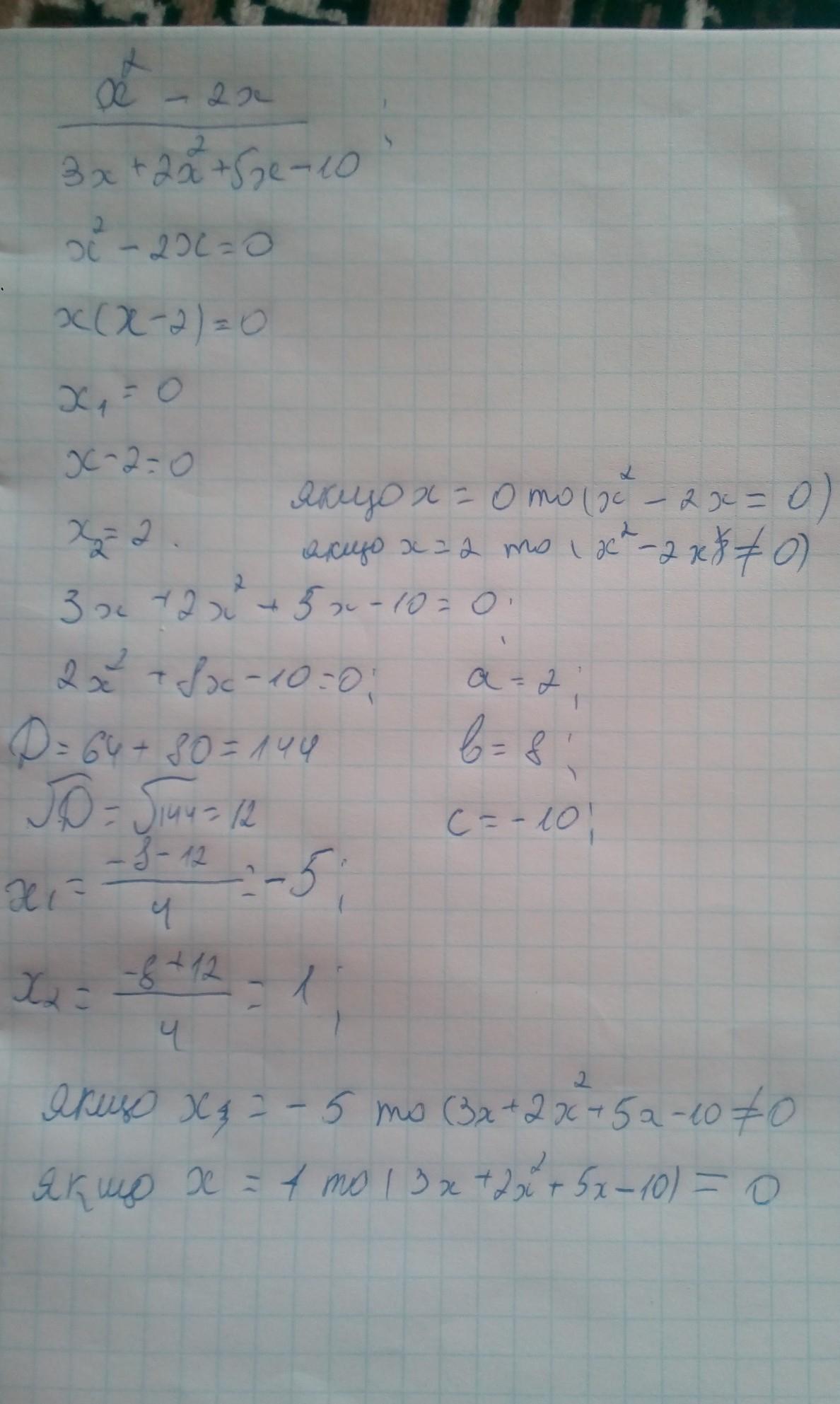
0
Объяснение:
ті ікси які дорівнюють нулю не використовуться у рівнянні , адже на нуль ділити неможливо
Приложения:

Вас заинтересует
2 года назад
2 года назад
7 лет назад
7 лет назад