Ответы
Ответ дал:
0
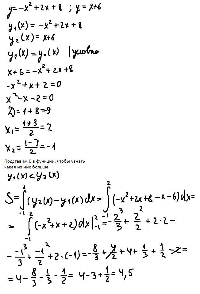
Ответ:
4,5
Пошаговое объяснение:
Приложения:

Aleksmarr:
Загальний развязок дифференциального ривняння...Пж.
Вас заинтересует
2 года назад
2 года назад
2 года назад
7 лет назад
7 лет назад
9 лет назад